离散数学
更新: 6/17/2025 字数: 0 字 时长: 0 分钟
- 考试题型:四道大题
- 时间:14:40 - 16:40
- 地点:西楼 - 507
- 监考老师:赵雪、程良
第一大题
灯泡L只有同时满足以下逻辑条件才会亮起:
- 如果
闭合,则 闭合 - 开关
闭合 - 如果
断开,则 也断开
第一小题
命题的概念?以上三个条件都是命题吗?陈述句一定是命题吗?如果不是请举例。
- 命题是指可以被判断为真或为假的陈述句
- 都是命题
- 陈述句不一定是命题,例如:
( 是变量,没有具体值,无法判断真假)
第二小题
将以上三个条件符号化,并写出灯泡 L 亮的判定公式。
设:
三个条件符号化:①
灯泡 L 亮的判定公式:
第三小题
写出判定公式的真值表,并根据真值表写主范式。
| 0 | 0 | 0 | 1 | 1 | 1 | 1 | 0 | 0 |
| 0 | 0 | 1 | 1 | 0 | 1 | 0 | 1 | 0 |
| 0 | 1 | 0 | 0 | 1 | 1 | 1 | 0 | 0 |
| 0 | 1 | 1 | 0 | 0 | 1 | 1 | 1 | 1 |
| 1 | 0 | 0 | 1 | 1 | 0 | 1 | 0 | 0 |
| 1 | 0 | 1 | 1 | 0 | 0 | 0 | 0 | 0 |
| 1 | 1 | 0 | 0 | 1 | 1 | 1 | 0 | 0 |
| 1 | 1 | 1 | 0 | 0 | 1 | 1 | 1 | 1 |
由真值表可得,011 和 111 为成真赋值
故
第四小题
一阶命题逻辑符号化,用以下谓词描述三场景。
: 是一个开关 : 是一个灯泡 : 与 是连接的 : 是闭合的 : 是亮的
所有开关都是可以控制灯泡的。
如果
闭合,那么灯泡 就会亮。 如果
与 都亮,那么他们至少有一个共同开关。
第二大题
对 60 个人的调查表明,有 25 人阅读《三联生活周刊》杂志,26 人阅读《读者》杂志,26 人阅读《中国国家地理》杂志,9 人阅读《三联生活周刊》和《中国国家地理》杂志,11 人阅读《三联生活周刊》和《读者》杂志,8 人阅读《读者》和《中国国家地理》杂志,还有 8 人什么杂志也不读。
第一小题
求阅读全部三种杂志的人数。

解:设三者共同有人数为
- 三联:
- 地理:
- 读者:
答:阅读全部杂志的人数为3人
第二小题
分别求只阅读《三联生活周刊》《读者》和《中国国家地理》杂志的人数。
解:由上题可知
三联人数:
读者人数:
地理人数:
综上三联人数 8 人,读者人数 10 人,地理人数 12 人。
第三大题
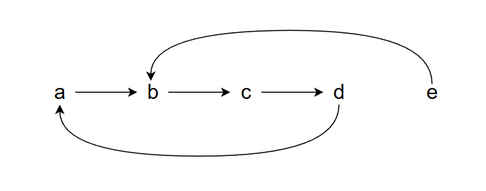
五个学生 a,b,c,d,e
a 关注 b 的社交账号,b 关注 c,c 关注 d,d 关注 a,e 关注 b。
第一小题
写出这几个同学的集合。
第二小题
写出二元关系中的有序队,例如 a 关注 b 写为
。
第三小题
画出二元关系的关系图,判断该关系是否有自反性,对称性,传递性。

没有自反性,没有对称性,没有传递性。
第四小题
写出还关系的自发闭包、对称闭包、传递闭包。
自反闭包:
对称闭包:
传递闭包:
第五小题
a,b,c 上台领奖,奖品有 A、B 两种,可以怎样分配这些奖品。
设:
解:
第四大题
某城市因空气严重污染出台了汽车数字单、双号限行政策分析一下问题。
第一小题
结合题写出单双号限行的等价关系
的集合定义,阐述等价关系定义,求解各尾号的的等价类。
解:汽车尾号集合
满足自反性:对于 ,均有 满足对称性:对于所有 ,如果 ,则 满足传递性:对于所有 ,如果 ,且 ,则 汽车尾号各数字等价类
第二小题
编写模块化程序,实现等价关系判定,假设关系用一个
n*n矩阵表示。可定义一个 n*n数组r[n][n]表示矩阵关系,根据题意补全算法。
r[i][i] == 1
r[i][j] == r[j][i]
r[i][j] && r[j][k] && !r[i][k]
checkzifan() && checkduichen() && checkchuandi()